рус uzb eng
Новости
Архив задач
Отправить решение
Текущие результаты
Рейтинг участников
Помощь
Авторизация
Логин:
Пароль:
Зарегистрироваться


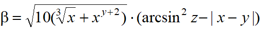
L122. Ifodani qiymatini toping

x, y va z ning berilgan haqiqiy qiymatlari uchun quyidagi ifodaning qiymatini toping.


Входные данные:
x, y va z haqiqiy sonlari berilgan.

Выходные данные:
Ifodaning qiymatini 103 aniqlikda chiqaring

Пример ввода:
0.12374 -1.825 0.16

Пример вывода:
-6.639

    Отправить решение