рус uzb eng
Новости
Архив задач
Отправить решение
Текущие результаты
Рейтинг участников
Помощь
Авторизация
Логин:
Пароль:
Зарегистрироваться


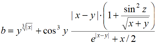
L127. Ifodani qiymatini toping

x, y va z ning berilgan haqiiqy qiymatlari uchun quyidagi ifodaning qiymatini toping.


Входные данные:
x, y va z haqiqiy sonlari berilgan.

Выходные данные:
Ifodaning qiymatini 103 aniqlikda chiqaring

Пример ввода:
6.251 0.827 25.001

Пример вывода:
0.716

    Отправить решение