рус uzb eng
Новости
Архив задач
Отправить решение
Текущие результаты
Рейтинг участников
Помощь
Авторизация
Логин:
Пароль:
Зарегистрироваться


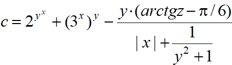
L128. Ifodani qiymatini toping

x, y va z ning berilgan haqiqiy qiymatlari uchun quyidagi ifodaning qiymatini toping.


Входные данные:
x, y va z haqiqiy sonlari berilgan.

Выходные данные:
Ifodaning qiymatini 103 aniqlikda chiqaring

Пример ввода:
3.251 0.325 0.000466

Пример вывода:
4.251

    Отправить решение